模仿電路解析包括直流解析和交流小信號解析。這里導入小信號解析時所需要的小信號等效電路。小信號等效電路模型是使計算簡單化的線性模型。
三個小信號參數gm、gmb、go
如前所述,模仿電路是在MOS晶體管器件的飽和區停止工作的。飽和區中,MOS晶體管的ID-VGS特性是ID∝ (VGS_VT)2,ID與Gs之間不是線性關系。但是,如圖2.1所示,在微小電壓νgs與微小電流id之間能夠看作線性關系近似認為id∝ νgs。


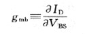
圖2.2示出MOS晶體管的低頻小信號等效電路。這里運用的小信號參數gm、gmb、go定義如下(單位都是西[門子],S)。
(1)跨導(transconductance) gm:


(2)體跨導(bulk transconductance)gmb:




(3)漏極電導(grain conductance)go:


跨導gm表示圖2.1中示出的微小區域中直線的斜率。漏極電導go表示圖2.3中示出的ID-VDS特性的斜率,go=1/ro(ro是輸出電阻)。

烜芯微專業制造二三極管,MOS管,20年,工廠直銷省20%,1500家電路電器生產企業選用,專業的工程師幫您穩定好每一批產品,如果您有遇到什么需要幫助解決的,可以點擊右邊的工程師,或者點擊銷售經理給您精準的報價以及產品介紹

烜芯微專業制造二三極管,MOS管,20年,工廠直銷省20%,1500家電路電器生產企業選用,專業的工程師幫您穩定好每一批產品,如果您有遇到什么需要幫助解決的,可以點擊右邊的工程師,或者點擊銷售經理給您精準的報價以及產品介紹

